一、什么叫新冠病毒感染的“复阳”?
“复阳”,一般指新冠感染者康复出院后再次出现核酸检测阳性的现象,由于不同国家乃至地区的出院标准并不相同,对“复阳”的界定也不统一,目前尚未有机构对其作出明确定义。
二、为什么新冠病毒感染痊愈后会“复阳”?
事实上,对于这个问题,没有缺乏权威性答案,有以下几个观点:
1、在新冠病毒感染痊愈之后,人体仍会在几周甚至几个月内,间歇性排出上呼吸道粘膜细胞,这些细胞含有新冠病毒核糖核酸RNA碎片,通常是死病毒的尸体,不具有传染力。这也意味着,初愈者虽然可能仍在脱落病毒碎片,甚至可以被PCR检测出来,但不会对社区构成明显的公共卫生风险;
2、检测技术的问题:之所以会复阳,一是检测敏感性不够强,在检测敏感性不强的情况下,如果患者体内低病毒载量比较低,上呼吸道标本就可能查不到;
3、一种可能是个别病人免疫功能比较低下;
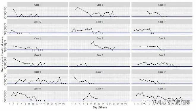
4、新冠患者的间歇性排毒:新加坡的医生在著名医学期刊《美国医学会杂志》(The Journal of the American Medical Association, JAMA)发文,总结了新加坡18例患者的临床特征,他们发现有一些患者,在发病的后期,病毒的载量是逐渐下降的,但是一部分患者,出现了间歇性排毒的过程。下面这张图就是报道患者的核酸检测结果,横坐标是时间,纵坐标是PCR反应的CT值。

我们看Case1,中间连续4天,核酸阴性,后来又复阳了,接着又两天核酸阴性,后来又阳性了。如何连续两次核酸阴性出院,那么他出院后会复阳。我们在Case2、15、6等患者,都看到了类似的情况。也就是说,复阳的患者,并不是疾病复发,而是在新冠肺炎的末期,患者接近康复,但很可能病毒再做最后一波殊死挣扎,病毒含量出现波动,直到机体将病毒完全清除。
三、“复阳”患者具有传染性?
复阳的患者,是否有传染性呢?从理论上说,只要有病毒排出体外,就有可能有传染性,但是在末期,病毒含量较低,患者也很可能没有咳嗽、打喷嚏等症状, 是否能够造成传染,目前还不得而知。从目前观察到的情况,复阳的患者,还未有报道引起传染的案例。
四、如何处理“复阳”患者?
九版防控方案明确了以核酸检测Ct值为判断依据:
(1)既往感染者出院(舱)后,呼吸道标本核酸检测阳性,如未出现任何症状体征且核酸检测Ct值≥35,不再进行管理和判定密切接触者;
(2)当核酸检测Ct值<35,应结合病程、Ct值动态变化等快速评估其传播风险,如有传播风险按感染者管理,判定和管控与其共同居住、共同工作等接触频繁的密切接触者,无需判定密接的密接;
(3)一旦“复阳”患者出现发热、咳嗽等临床表现,或CT影像学显示肺部病变加重,应立即转运至定点医疗机构,根据病情进行分类管理治疗;
(4)如果是在国外已感染过新型冠状病毒的人员,入境时新冠病毒核酸检测呈阳性,应按新冠病毒感染阳性患者管理,不按出院(舱)后核酸检测阳性人员管理。
监制:王为民
审核:陆鹏
作者:徐州医科大学附属医院支援队 袁宝强
编辑:刘明
苏公网安备32030302000502号